Elias James Corey

Elias James Corey

Corey, 12 Temmuz 1928’de (Soyadı, papa anlamına gelen Lübnan Arapçasından İngilizleştirilmiş bir kelime olan Khoury’dir) Boston’un 50 km kuzeyinde Massachusettes eyaletinin Methuen şehrinde dünyaya gelen Lübnanlı Hristiyandır. Babasının ölümü üzerine 18 aylıkken annesi, babasının anısına ismini “Elias” olarak değiştirdi. Büyük buhran boyunca Dul annesi, erkek kardeşi, iki kız kardeşi ve bir teyze ve dayısı ile birlikte büyük bir evde yaşıyordu. Corey genç bir çocukken fazlasıyla özgürdü ve beyzbol, futbol ve yürüyüş gibi spor faaliyetlerinden yararlandı. Massachusetts eyaletinin Lawrence şehrindeki Katolik bir ilkokula ve daha sonra Lawrence Lisesi’ne kayıt oldu.

Corey, 16 yaşında iken MIT ( Massachusetts of Institute of Technology) ‘e girdi ve burada 1948 yılında lisans diploması ve Profesör John C. Sheehan yönetiminde 1951’de doktora diploması aldı.  Bilimdeki tek deneyimi matematik olan Corey,  MIT’e girmesi üzerine üniversite kariyerine mühendislik diploması da eklemeye başladı. 2. sınıf öğrencisi iken ilk kimya dersinden sonra uzun vadeli kariyer planlarını yeniden gözden geçirmeye başladı ve kimya alanında lisans diploması alarak mezun oldu. Bundan kısa süre sonra Profesör John C. Sheehan’ın daveti üzerine Corey, doktorası için MIT’e devam etti. Mezuniyet kariyerinden sonra Urbana-Champaign arasındaki Illinois Üniversitesi’nden teklif alıp 1956’da 27 yaşında kimya profesörü oldu. 1952’de Illinois Üniversitesi’ndeki Alfa Chi Sigma Zeta bölümüne üyeliği kabul edildi. Bir grup lisansüstü öğrencisi ve doktora sonrası yakın arkadaşları ile birlikte Illinois’teki ilk yıllarında gerçekleştirdikleri araştırma projeleri, bazı organik reaksiyonların mekanizmalarının ayrıntılı incelemesini içeriyordu. Grubun projelerinin esası, bitkilerden izole edilen kompleks moleküllerin ayrıntılı üç kimyasal yapılarının belirlenmesini içeriyordu. Toplam sentez yoluyla doğal ürünlerin hazırlanması ile ilgili çeşitli projeler, Corey’nin ileriye dönük hedefinde yol göstericiydi. İsveç-Lund’de bulunan Sune Bergtrom laboratuarına yaptığı ziyarette düzenleme enzimlerinin alanda yeni yeni ortaya çıktığını öğrendi. Bu hormon benzeri bileşikler sınıfı önümüzdeki yıllarda grubunun başlıca projelerinden birini oluşturacaktır. Sadece iki yıl sonra 1959’da Harvard Üniversitesi’nde halen aktif olan Corey Group araştırma programında Kimya profesörü olarak çalışmaya başladı. “Kendine özgü iç güzelliği ve insan sağlığına verdiği büyük önem” nedeniyle organik kimyada çalışmayı seçti. Ayrıca 50 yıldan fazla süredir Pfizer danışmanlığını yapıyor.

1961’de eşi Clair ile evlendi. David, John, ve Susan adında üç çocuğu ve iki tane de torunu vardır. Şu anda eşi Clair’le birlikte, Massachusetts’un Cambridge kentinde yaşamaktadır. Sayısız onursal ödül arasından Corey, 1998’de Ulusal Bilim Madalyası, 1990’da Kimya Nobel Ödülü ve 2004’te American Chemical society’nin (Amerikan Kimya Topluluğu’nun) en büyük onur madalyası olan Priestley Madalyasını aldı.

Corey laboratuvarında geliştirilen çeşitli reaksiyonlar modern sentetik organik kimyada olağan hale gelmiştir. 1950 senesinden beri Corey’nin Grubu tarafından en az 302 yöntem geliştirilmiştir.

İsmi ile anılan birkaç reaksiyon:

  • Corey-Itsuno reduction:

Elias James Corey

Elias James Corey

  • Corey-Fuchs reaction:

Elias James Corey

Elias James Corey

  • Corey–Kim oxidation

Elias James Corey

Elias James Corey

  • Corey-Winter olefin synthesis:

Elias James Corey

Elias James Corey

  • Johnson-Corey-Chaykovsky reaction:

Elias James Corey

Elias James Corey

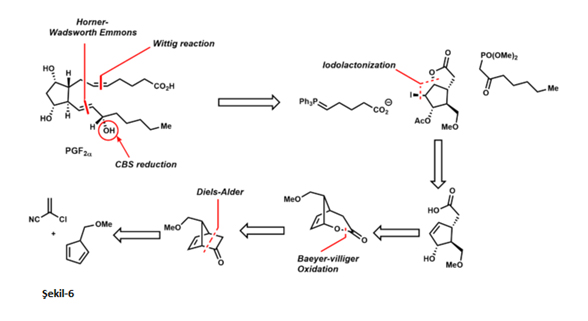
E.J. Corey ve araştırma grubu birçok toplam sentez tamamladılar. 1950’den beri en az 265 molekül Corey ve araştırma grubu tarafından sentezlendi. Bazı düzenleme enzimlerin genel sentezi Corey’in klasikleri olarak kabul edilir. Özellikle düzenleme enzimlerin F2a sentezi birkaç zorluk ortaya çıkardı. Cis ve trans olefinlerin varlığının yanı sıra beş asimetrik karbon atomunu açıklamak organik kimyager için molekülün istenen topolojik zorluk haline getirir. Corey’nin retrosentetik analizi basitleştirilmiş öncüllere yol açan birkaç kilit kesişmeyi özetlemektedir (Şekil-6).

Elias James Corey

Moleküler basitleştirme her iki karbon zincirinin Witting reaksiyonu ve Horner-Wadsworth Emmons modifikasyonu ile ayrılmasıyla başladı. Horner-Wadsworth Emmons trans olefin üretirken Witting reaksiyonu Cis ürününü verir. Yayınlanan sentez, çinko borohidrit kullanılarak karbonil redüksiyonunun 1:1 diastereomerik karışımını ortaya çıkarmaktadır. Bununla birlikte yıllar sonra Corey ve arkadaşları CBS indirgemesini belirlediler. Bu protokolü temsil eden örneklerden biri arzu edilen diastereomerin 9:1 ‘lik karışımını ortaya çıkaran düzenleme enzimlerin sentezinde bir ara madde oldu (Şekil-7).

Elias James Corey

İyodolaktonizasyon dönüştürme gücü, Balyer-Villiger ara maddesine yol açan bir allilic alkol verir. Bu oksidasyon keton ile en elektron zengini bölge arasında seçici olarak bir oksijen atomu yerleştirir. Esas ara ürün fonksiyonel hale getirilmiş siklopentan halkası için karbon çerçevesi sağlayan Diels-Alder yapısal hedefinde basit bir dönüşüme yol açar. Daha sonra Corey, kiral oksazobrolidin kullanan asimetrik bir Diels-Alder reaksiyonu geliştirdi ve düzenleme enzimlerine sentetik aktarım büyük ölçüde basitleştirildi.

Diğer dikkate değer sentezler:

  • Longifolene
  • Ginkgolides A ve B
  • Lactacystin
  • Miroestrol
  • Ecteinascidin 743
  • Salinosporamide A

Corey’nin 1100’den fazla yayını bulunmaktadır. 2002 yılında Amerikan Kimya Topluluğu (ACS), Corey’yi “Kimyada En Çok Alıntı Yapılan Yazar” olarak tanımladı. 2007’de ilk ACS Yayınlar Bölümü “Mükemmellik Dönemi Kategorisi Ödülü”nü aldı ve Hirsch Endeksi (h-endeksi) tarafından araştırma etkisi açısından bir numaralı kimyager seçildi. Kitapları arasında şunlar bulunmaktadır:

E.J. Corey and Laszlo Kurti, Enantioselektif Kimyasal Sentez: Metotlar, Mantık ve Uygulama, Direct Book Publishing LLC, 2010, ISBN 978-0-615-39515-9

Elias James Corey, Xue-Min Cheng. Kimyasal Sentez Mantığı. Wiley-Interscience, 1995, ISBN 0-471-11594-0.

E. J. Corey, Barbara Czako, Laszlo Kurti. Moleküller ve Tıp John Wiley & Sons, 2008.

Jie-Jack Li tarafından düzenlenen heterosiklik kimyada reaksiyonların isimlendirilmesi; Bilim editörü E.J. Corey. Hoboken, NJ: Wiley-Interscience, 2005.

Fonksiyonel grup dönüşümleri için isim reaksiyonları / Jie Jack Li, E.J. Corey. Hoboken, NJ: Wiley-Interscience, 2007.

2010 yılı itibarı ile yaklaşık 700 kişi Corey Group üyesidir. Corey’nin Temmuz 2008’deki 80. doğum günü için 580 eski üyenin ve mevcut üyeliklerin bulunduğu bir veritabanı geliştirildi.

Aldığı Ödüller:

  • İçerisinde 40’tan fazla önemli ödülün bulunduğu Pauling Ödülü (1973)
  • Franklin Ödülü (1978)
  • Tetrahedron Ödülü (1983)
  • Kimya Kurt Ödülü (1986)
  • Ulusal Bilim Madalyası (1988)
  • Japonya Ödülü (1989)
  • Nobel Kimya Ödülü (1990)
  • Roger Adams Ödülü (1993)
  • Priestley Madalyası (2004)

1998 yılında Alpha Chi Sigma Hall of Fame’e girildi. 2008 yılı itibariyle Oxford Üniversitesi (İngiltere), Cambrdige Üniversitesi (İngiltere) ve Ulusal Chung Cheng Üniversitesi dahil olmak üzere dünyanın dört bir yanındaki üniversitelerden onur ödülü aldı. 2013’te Çin’in Jiangsu Eyaleti, Jiangyin’de E.J. Corey Biyomedikal Araştırmalar Enstitüsü (CIBR) açıldı. Corey 1998 yılında Kraliyet Cemiyetinin (ForMemRS) Yabancı Üyeliğine seçildi.

1.490 Kez Okundu

İnovatif Kimya Dergisi

İnovatif Kimya Dergisi aylık olarak çıkan bir e-dergidir. Kimya ve Kimya Sektörü ile ilgili yazılar yazılmaktadır.

You may also like...

WP Twitter Auto Publish Powered By : XYZScripts.com
Kopyalamak Yasaktır!