Otto Paul Hermann Diels
Otto Diels Kimdir?
1950 yılında öğrencisi Kurt Alder ile Kimya dalında Nobel ödülü alan Alman kimyager Otto Paul Hermann Diels 23 Ocak 1876’da Hamburg’da dünyaya geldi. Berlin üniversitesinde eğitimini tamamlayan Diels yine aynı üniversitede 1904’te öğretim görevlisi oldu ve 1915’te profesör ünvanını aldı. Bir süre sonra Kiel Üniversitesinde kimya enstitü müdürü olarak devam etti. Kimya bilimine en eski katkısını 1927’de kolesterol ve serisinin, steroidlerin, aromatik temek iskeletinin tanımlanmasında alışılmışın aksine, sülfürün yerine, selenyumu kullanarak dehidrasyon tepkimeleriyle yapılarının açıklanması olmuştur (selenyum dehidrasyonu).1950 yılında Stockholm Nobel konferansında sunmayı amaçladığı el yazsısında bu keşfini özetle şöyle anlatıyor:
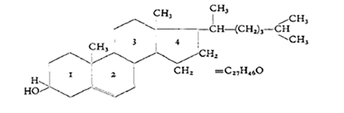
Kolesterol 1789 yılında keşfedildi fakat 20.yy’a kadar kolesterolün doğası ve onun kimyasal yapısının keşfedilmesine dair yeterince veri elde edilemedi. 1900’e kadar kanıtlanmış tek şey onun kompozisyonu ve 4 halkadan oluşan hidroaromatik sistemiydi. Bundan 2 yıl kadar sonra 2 önemli gözlem yaptı, bunlardan ilki NaOBr ile oldukça kolay bir şekilde oldukça iyi kristalleşme özelliğine sahip ve kolesterol ile aynı karbon sayısına sahip olan dikarboksilik aside dönüşebiliyor olmasıydı. İkincisi de OH grubu içermeyen haliyle katalitik dehidrasyon ile kolestenon oluşuydu. Bu aşamadan sonra yaklaşık 20 yıl bu konu üzerine çalışmalardan geri çekildi fakat başta Windaus ve Wieland (buyuk bir başarı ile) ve birçok bilim insanı kolesterol üzerinde çalışmak için kendilerini adadılar. Onların çalışmalarının önemli bir parçasını ve araştırmalarının muazzam derecede ilerlemesinde Diels’in keşfettiği 2 bileşik (dikarboksilik asit ve kolestenon) kullanıldı. Fakat kolesterol molekülünün aydınlatılması aşamalarındaki belirsizliğin sürmesi Diels’i tekrar çalışmak üzere harekete geçirdi ve sonunda dehidrasyonda yeni bir ajan olarak selenyumu kullanarak kolesterolün aromatik temel iskeletinin yapısı keşfedildi.
Kolesterol:
Diels’in en bilinen çalışması ise, Nobel Ödülünü kazandırmış olan, Diene Sentezi (Şekil-1) olarak da bilinen dienin siklik bileşikler vermek üzere etilenik bir bağa bitişik karbonil veya karboksil gruplarına sahip 2. Bileşenler oluşturduğu reaksiyondur. Bu iki reaktif madde ile çok geniş yelpazede yeni bileşikler hazırlanabilir. Oldukça kolay şekilde gerçekleşen bu reaksiyonlarla birçok karmaşık doğal ürün ve modifikasyonları elde edilebilir.
Şekil-1: Diene reaksiyonu
Diene reaksiyonu bir sikloheksen üretmek üzere bir alken (dienofil) ile konjüge dienin eşlenik bir ekleme reaksiyonudur. En basit örnek sikloheksen oluşturmak için etilenle 1,3-bütadien reaksiyonudur:
1,4-sikloheksadien oluşturmak için etil ile 1,3-bütadien’in benzer reaksiyonu da bilinir:
Reaksiyon, bir siklik geçiş durumu vasıtasıyla bir siklik ürün oluşturduğundan, aynı zamanda bir “siklo katkı” olarak da tanımlanabilir. Reaksiyon uyumlu bir süreçtir:
Döngüsel dienler, dienofilin geçiş aşamasında dienin altında mı yoksa dışına mı uzanmasına bağlı olarak stereoizomerik ürünler verebilir. Endo ürünü (nedeniyle kinetik kontrolü), genellikle büyük bir üründür
Direkt olarak birbirine hizalanan dien ve dienfil, endo ürünü verir
(dienofil altındaki veya altında = endo)
Diene ve Dienophile birbirine göre kademeli olarak ekso ürün verir
(dienofil maruz veya dışarı = exo )
Diels bu iki çalıma dışında 15 baskıya sahip Die Organische Chemie’de (1907) Einführung’un yazarıydı. İlk ödüllerinden bazıları 1904’te, St. Louis (USA) Uluslararası Sergisinde Altın Madalya, 1930’da Adolf v. Baeyer Madalyonu ve 1952’de Grosskreuz des Verdienstordens der Bundesrepublik Deutschland’ıdır. Ayrıca Kiel Üniversitesi’nden fahri doktora derecesini aldı ve Halle, Münih ve Göttingen Akademileri üyesiydi. Diels 1909’da Paula Geyer ile evlendi. Üç oğlu ve iki kızı vardı ve Diels 7 Mart 1954’de vefat etti.










