Ernst Otto Beckmann
Biyografi ve Katkıları
Bir Alman kimyager olan Ernst Otto Beckmann, 04 Temmuz 1853’de doğdu. 12 Temmuz 1923’de öldü. 1908’de Berlin’de Kimya İmparatorluk Enstitüsünün (Verein Chemische Reichsanstalt) başkanlığına getirildi. 1912’de yeni kurulan Kaiser Wilhelm Kimya Enstitüsü direktörlüğüne getirildi. Anorganik ve fizikokimya bölümünde Leipzig’de eğitimine başladığı molekül ağırlığının belirlenmesi ve spektral analiz üzerine çalışmalar yaptı.
1914’de savaş patlak verdikten sonra koruyucu maskeler üretmeye, gizli ışık sinyalleri ile iletişim ve yedek astarların geliştirilmesine odaklandı. Lupin’ler üzerindeki zehirli ve acı bileşikleri çıkarmaya çalıştı. Madencilikte firedamp duyarlılığının kimyasal göstergesi ile ilgili yöntemleri araştırdı. Savaş sırasında, örneğin hava karayollarında kaçan gazları saptamak için ateşleme aparatını daha da geliştirdi. Ona göre Beckmann termometrenin icadıyla moleküler ağırlık tayinini geliştirdi. Termometre, 0.01 ° C’lik çok küçük sıcaklık farklarını ölçebilir.
Beckmann Diferansiyel Termometre
Beckmann diferansiyel termometre, küçük sıcaklık farklarını ölçmek için kullanılan ancak mutlak sıcaklık değerlerini ölçmek için kullanılan bir cihazdır.
Beckmann termometrenin uzunluğu genellikle 40-50 cm arasında değişir. Bu termometredeki sıcaklık ölçeği tipik olarak yaklaşık 5 derece santigrat derece kapsar ve yüzdelik derece olarak bölünür. Beckmann termometrenin büyüteci, sıcaklık değişikliklerini 0.001 derece santigrat derecede düşük tahmin edebiliyor.
Beckmann’ın termometre tasarımının önemli özelliği, tüpün üst ucundaki bir rezervuar olmasıdır; bu sayede, ampuldeki cıva miktarı, yüksek ya da düşük sıcaklık farklarını ölçmek üzere ayarlanabilecek şekilde arttırılabilir veya azaltılabilir Sıcaklık değerleri. Buna karşın, tipik cam civa termometrenin aralığı, cam üzerine kazınmış kalibrasyon işaretleri veya baskılı ölçek üzerindeki işaretler tarafından ayarlanır; sabitlenir.
Şekil 1. Beckmann Diferansiyel Termometresi
Beckmann Yeniden Düzenlenmesi
Alman kimyager Ernst Otto Beckmann’ın adını taşıyan Beckmann yeniden düzenlenmesi, bir oksimin amide dönüştürülmesi için asit katalizli bir düzenlemedir. Beckmann çözeltisi, asetik asit, hidroklorik asit ve asetik anhidritten oluşur ve yeniden düzenlenmeyi katalize etmek için yaygın olarak kullanılırdı. Sülfürik asit veya polifosforik asit gibi diğer asitler de kullanılabilir.
Mekanizma
Beckmann yeniden düzenlenme reaksiyonu, daha iyi ayrılan bir grup oluşturan alkol grubunun protonlanması ile başlar. R grubu ayrılan gruba trans, daha sonra nitrojene göç ederek bir karbokatyon ve bir su molekülünün salınması ile sonuçlanır. Bu trans [1-2] kaydırma, bu reaksiyonun bölgesel kehanetinin tahmin edilmesini sağlar. Su molekülü daha sonra karbokatyona saldırır ve deprotonasyon ve totomerleşmeden sonra nihai amid ürünü oluşur.
Bir çalışmada, [5] mekanizma, çözücü molküllerinin ve bileşenlerin varlığı dikkate alınarak oluşturulmuştur. Beckmann solüsyonunda aseton oksimin yeniden düzenlenmesi üç asetik asit molekülünü ve bir protonu (bir oksonyum iyonu olarak bulunur) içerir. Iminyum iyonuna (σ-kompleksi) yol açan geçiş halinde, metil grup uyumlu bir reaksiyonda azot atomuna göç eder ve hidroksil grubu atılır. Hidroksil grubundaki oksijen atomu, üç asetik asit molekülü tarafından dengelenir. Bir sonraki adımda, nitrilium iyonundaki elektrofilik karbol atomu suyla saldırıya tabi tutulur ve proton, asetik aside bağışlanır. N-metil asetimid asidine yol açan geçiş halinde su oksijen atomu 4 diğer atomlarla koordine edilir. Üçüncü adımda, bir izomerizasyon adımı, amide giden nitrojen atomunu protonlar.
Tautomerleşme
Tautomerleştirme, bir reaksiyonda oluşan bir türün bir totomer haline dönüştürülmesi işlemidir. Bu reaksiyon, genellikle bir hidrojen atomunun veya protonun resmi göç ile sonuçlanır ve bir tekli bağ ve bitişik çift bağ geçişiyle birlikte olur. Tautomerleşmeler kavramına totomerizm denir. Tautomerizm, yapısal izomerizmin özel bir durumudur ve DNA’da ve özellikle RNA moleküllerinde kanonik olmayan baz eşleştirmesinde önemli bir rol oynayabilir.
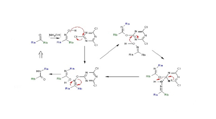
Siyanürik Klorür Yardımlı Beckmann Reaksiyonu
Beckmann reaksiyonunun, siyanürik klorür ve çinko klorür kokatalizörü ile katalize edildiği bilinmektedir. Örneğin siklododekanon ilgili laktam, naylon 12 üretimi için bir monomer haline dönüştürülebilir.
Bu tepkime mekanizması siyanürik klorür ile bir katalitik bazda, bir nükleofilik aromatik madde alışverişi vasıtasıyla hidroksil grubunu aktive eder. Reaksiyon ürünü yerinden alınır ve bir ara meizenheimer kompleksi vasıtasıyla yeni reaksiyon maddesi ile değiştirilir.






